Gang Leaders Control ‘Vassal’ territories Where Farmers Pay for Privilege to Plant and Harvest

By Luka Binniyat and Mike Odeh James
Farmers in the 14 counties of Zamfara State are serving up as much as $10 million a year to criminal gangs in so-called rents that are extortion payments to gang leaders, a TruthNigeria investigation has concluded.
The informal survey of farmers in the counties, known as Local Governance Areas, builds upon the study by the Switzerland-based Global Initiative Against Transnational Organized Crime in 2022. Federal law-enforcement agencies have largely overlooked the new trend of land confiscation and have focused their energies on shutting down kidnap-for ransom gangs, which yield less profit for the criminal groups.
Farmers large and small have become vassals, who face heavy “fines” if they do not pay “rents” before they access their farms to cultivate and before harvesting their crops, according to farmers speaking to TruthNigeria.
Failure to pay attracts brutal penalties including the burning down of villages or kidnapping of family members.
For example, on November 24, 2024, scores of gunmen led by an infamous bandit leaders called “Damina,” invaded 6 communities in Maru county of Zamfara State and killed 3 after the villagers failed to settle a N200 million Naira [equivalent to $200,000] tax imposed on them.
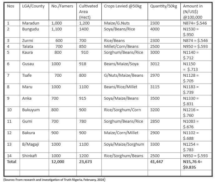
Communities typically raise money for the terrorist-bandits by selling cash crops, since most of their livestock already has been rustled by the gangs. TruthNigeria made extensive investigation into the number farmers that paid tax, county-to-county and the quantity of crops that they had to sell to raise the cash imposed in them for 2023.
Approximately 12,000 head of households in the 14 counties paid the equivalent of US$10 million dollars (N15,76 4 billion Naira) to cultivate and harvest various crops on 23,673 hectares of farmlands in 2023. The farmers paid partly in cash but for the most part in shares of grain or vegetables. Individuals and communities were taxed based on how the terrorists rated them, according to interviews with farmers.
Two farmers from the county of Tsafe paid more than N1.12 billion (US $705,000) dollars to Hassan Makera, the leader of one terrorist gang, before they could cultivate their farms and harvest the farms in 2023, the farmers told TruthNigeria.
Mohammed Isa Sungawa of Sungawa village said he and other farmers paid over N1.5 million for each family head by selling much of their crops to the bandits so that they wouldn’t get attacked.

“In our village of Sungawa, we were taxed N1.5million per household before we could go and cultivate our land and to harvest our crops during the harvesting season,” Sungawa said.
“Again, during the harvesting season, the terrorists would come to our farms and count what we have harvested. If you harvested 10 bags of beans, they would take 7 bags and go,” he added with bitterness.
“Failure to pay the taxes imposed on us would result in either death or burning down of our farmlands and village,” Sungawa said.
Apart from Sungawa Village, the following villages of Sabon Fegin Baza, Rakyabu, Tsageru, Langa Langa and Biya Biki and many others paid N1.2 million each household to Hassan Makera so that farmers could visit their farms, he added.
“We have paid hundreds of millions to these terrorists since January, 2023 and this year too to the bandits,” he said.
Agricultural Production Falls
Sungawa farmers in Maru county plant mainly Guinea Corn, and Soya bean, according to Gambo Abubakar, a part-time farmer, told TruthNigeria.
Before the era of banditry began in 2019, a small-time farmer could cultivate about 15-50 (50kg) bags of Soya Beans and Millet.
“We could sell about 14 bags and keep the rest for family feeding, but when there was need, we would sell more bags to pay school fees and hospital bills,” Abubakar said.
However, with the coming of banditry, most farmers have relocated to safer areas such as Gusau or Kaduna State, whereas poor farmers hardly get up 15 bags to use or sell for themselves.
Due to hyperinflation and criminal violence, prices of grains have gone up in the state. Federal officials rarely cite banditry, terrorism, and land control by criminal gangs as a major driver of growing food insecurity in the nation, although criminal control of land undoubtedly plays a large role.
A 50 kg bag of Maize is now N40,000 (US$27 dollars), while Soya Bean is now N42,000 (US$28 dollars, Guinea corn now cost N3800 (US$ 26 dollars), Millet is now N44,000 (US$ 29 dollars) and a bag of rice is N88,000 (US$58).
According to a survey of by Truth Nigeria, a 50 kg bag of Maize was below N35,000 (US$23 dollars) in 2023. Similarly, prices for Millet, Soya Beans and rice all rose sharply as a result of a combination of factors of which less access to farmlands resulting from the violent crimes against villagers across most parts of Northern Nigeria stands most prominent.
Most Nigerian workers do not earn more than $127 a month, according to Techpoint Africa.. Small-plot Zamfara farmers typically earn between $66 and $200 a month, according to sources consulted by TruthNigeria. From this amount, the criminals take a large share.
Transactions with Terrorist Gangs over Rents
Villagers surveyed said that that before the start of the planting season, they would send people known to have good rapport with the terrorists to negotiate amount to be paid.
“In Matangari, Anka Local Government Area (county), before the commencement of planting, we will ask those who we know as informants for the terrorists to meet with them and ask them how much to pay before we start farming,” said a farmer who does not want his name mention.
“At times, we send the relatives of the bandits to them for negotiation on how much to pay, because we know them, and we know the implication of disobeying them,” he said.
Mohammed Dahiru Bungudu a 35-year old farmer in Bungudu county Northwest of Gusau, capital of Zamfara, told Truth Nigeria that his village of Ruwunji and their neighboring villages of Kadafka and Kwatakrshi have about 1,500 farming households who are mainly engaged in peasant farming of millet, groundnut and soybean.
However, due to persistent extortion, many of the farmers have fled the county this year.
“At the beginning of each farming season since 2019 the bandit leader would send message to our communities demanding that we pay an amount of money say N3 million per village. However, village elders would plead through their emissaries, and the money would be reduced to N1.6 million (US$1,060 dollars) and N2 million (US$1,333 dollars),” he said.
According to him, any village that was unable to pay the fines would be looted and burned and several people kidnapped. Afterwards, many of the farmers fled to safer areas in neighboring Sokoto and Katsina states.
As a result, farming dropped drastically, he said.
Terrorists Make More Money by Farming Land Than through Kidnapping
Terrorist-bandits today make more money by imposing taxes than they once did through abductions, according to Global Initiative. In addition, the criminals increasingly are doing farming themselves. The same was recorded by TruthNigeria reporters who studied the long-term battle between the Ansaru insurgency and bandit terrorists in the ungoverned spaces of Western Kaduna in 2022. The Ansaru insurgents lost out to the gang of the late Dogo Gide, whose gang members cultivated large swaths of land in Western Kaduna.
Luka Binniyat and Mike Odeh James are veteran conflict reporters for TruthNigeria based in the Kaduna metropolis.

